
LROI-jaarrapportage 2023 online!
De nieuwe jaarrapportage van de LROI staat online! Hierin vindt u weer veel informatie over prothese zorg van de heup, knie, schouder, elleboog, enkel, pols en vinger in Nederland tot en met 2022. Zo ziet u de resultaten op de korte termijn, resultaten op de lange termijn en trends over de afgelopen 10 jaar. Met deze LROI-gegevens krijgen wij steeds meer inzicht in de veiligheid, kwaliteit en resultaten van de orthopedische zorg in Nederland.
Ook is het jaarlijkse compleetheidsonderzoek afgerond. De compleetheid is 99% voor primaire totale heup- en knieprothese-ingrepen. Ook de compleetheid van de andere gewrichten is hoog, namelijk 95-97% voor enkel- en schouderingrepen en 85-87% voor elleboogingrepen. Voor de registratie van pols- en vingerprothesen is ruimte voor verbetering (59%-100%). Bent u benieuwd hoe compleetheid voor uw ziekenhuis is? Neem hier snel een kijkje! De compleetheid op ziekenhuisniveau wordt alleen anoniem weergegeven.
Wat is nieuw? De jaarrapportage is uitgebreid met een aantal nieuwe figuren die inzicht geven op de volgende vragen:
o Neemt de revisiekans per operatiejaar toe of af voor patiënten die een totale heupprothese hebben gekregen via de voorste benadering?
o Blijft de re-revisiekans per operatiejaar gelijk voor patiënten die een revisie-ingreep ondergaan van een totale heup- of knieprothese?
o In welke provincie hebben patiënten de laagste kans op een revisie van een totale heup- of knieprothese-ingreep?
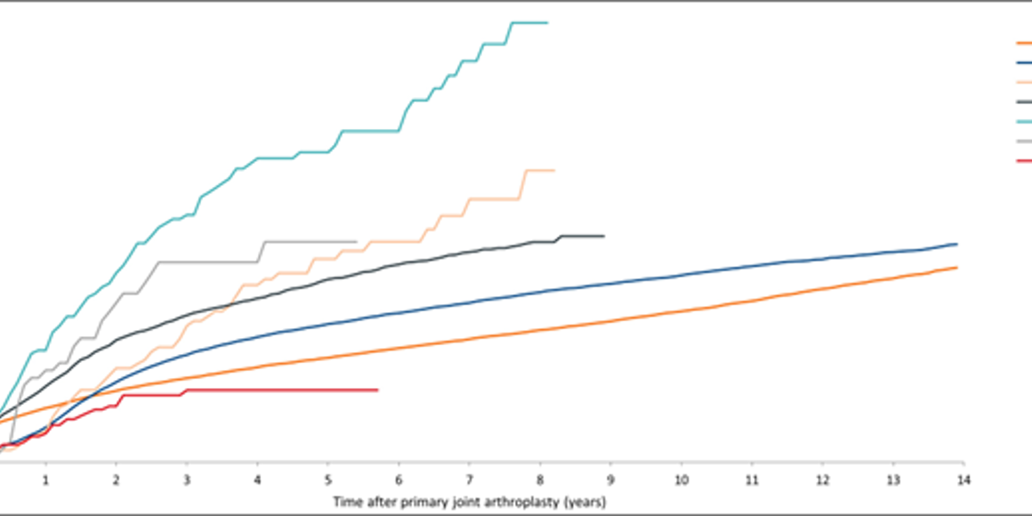
o Neemt de revisiekans van totale (anatomisch of reversed) en hemi schouderprothesen in de loop der jaren af?
o Is de revisiekans anders voor bepaalde prothesekenmerken, zoals voor verschillende articulaties en verschillende soorten polyethyleen?
o Is de revisiekans van enkel- en elleboogprothesen anders voor bepaalde patiëntkenmerken?
o Hoe is het responspercentage van patiëntgerapporteerde uitkomsten (PROMs) per zorgaanbieder verdeeld? Hoeveel zorgaanbieders hebben een hoger responspercentage dan gemiddeld in Nederland en is dit afhankelijk van het volume ingrepen?
Een rapportage als deze is alleen mogelijk dankzij de inzet van iedereen die bijdraagt aan de registratie van orthopedische implantaten. Wij danken de patiënten, alle betrokkenen in de ziekenhuizen en klinieken heel hartelijk voor hun medewerking!
Heeft u vragen of suggesties? Wij horen het graag via lroi@orthopeden.org.
Bekijk de rapportage-website.
Ook is het jaarlijkse compleetheidsonderzoek afgerond. De compleetheid is 99% voor primaire totale heup- en knieprothese-ingrepen. Ook de compleetheid van de andere gewrichten is hoog, namelijk 95-97% voor enkel- en schouderingrepen en 85-87% voor elleboogingrepen. Voor de registratie van pols- en vingerprothesen is ruimte voor verbetering (59%-100%). Bent u benieuwd hoe compleetheid voor uw ziekenhuis is? Neem hier snel een kijkje! De compleetheid op ziekenhuisniveau wordt alleen anoniem weergegeven.
Wat is nieuw? De jaarrapportage is uitgebreid met een aantal nieuwe figuren die inzicht geven op de volgende vragen:
o Neemt de revisiekans per operatiejaar toe of af voor patiënten die een totale heupprothese hebben gekregen via de voorste benadering?
o Blijft de re-revisiekans per operatiejaar gelijk voor patiënten die een revisie-ingreep ondergaan van een totale heup- of knieprothese?
o In welke provincie hebben patiënten de laagste kans op een revisie van een totale heup- of knieprothese-ingreep?
o Neemt de revisiekans van totale (anatomisch of reversed) en hemi schouderprothesen in de loop der jaren af?
o Is de revisiekans anders voor bepaalde prothesekenmerken, zoals voor verschillende articulaties en verschillende soorten polyethyleen?
o Is de revisiekans van enkel- en elleboogprothesen anders voor bepaalde patiëntkenmerken?
o Hoe is het responspercentage van patiëntgerapporteerde uitkomsten (PROMs) per zorgaanbieder verdeeld? Hoeveel zorgaanbieders hebben een hoger responspercentage dan gemiddeld in Nederland en is dit afhankelijk van het volume ingrepen?
Een rapportage als deze is alleen mogelijk dankzij de inzet van iedereen die bijdraagt aan de registratie van orthopedische implantaten. Wij danken de patiënten, alle betrokkenen in de ziekenhuizen en klinieken heel hartelijk voor hun medewerking!
Heeft u vragen of suggesties? Wij horen het graag via lroi@orthopeden.org.
Bekijk de rapportage-website.